


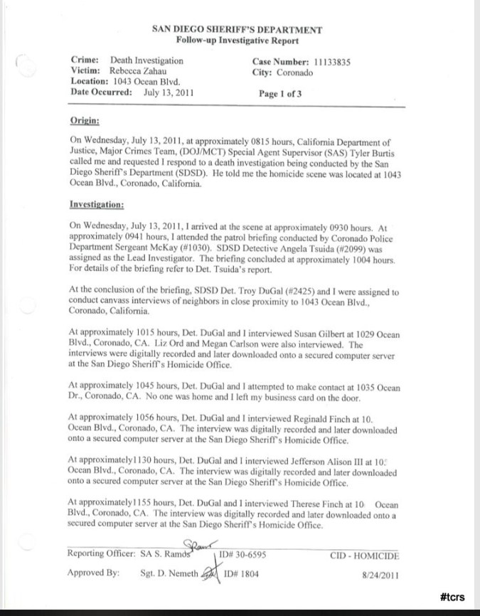
Rebecca Zahau Case File: Volume 1 [of 2], Section 9 [of 43] FOLLOW-UP INVESTIGATIVE REPORT/Neighbors 3 Pages






True Crime Analysis, Breakthroughs, Insights & Discussions Hosted by Bestselling Author Nick van der Leek
at home and further afield
True Crime Analysis, Breakthroughs, Insights & Discussions Hosted by Bestselling Author Nick van der Leek