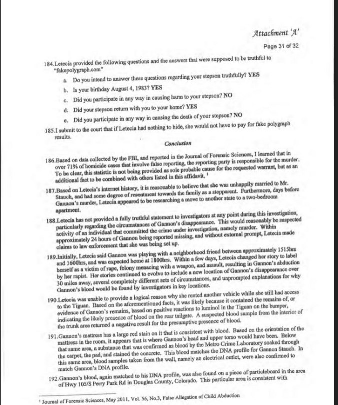
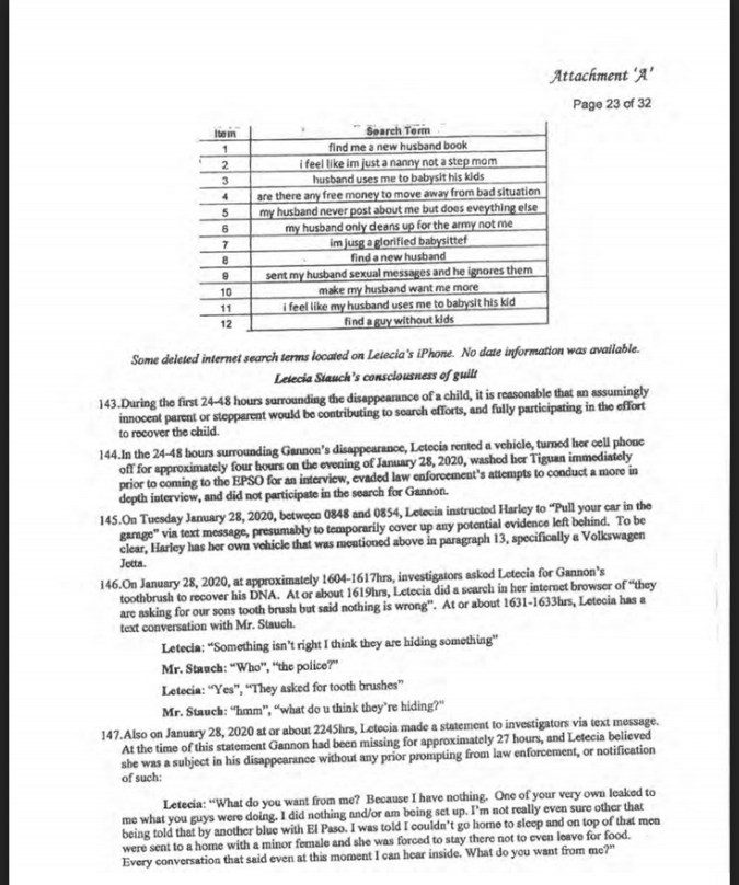
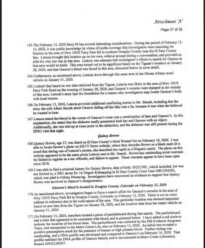
Letecia Stauch: 32-Page Arrest Affidavit April 5, 2020May 10, 2020 / nickvdl BOY, INTERRUPTED is available now in Kindle and Paperback Share this: Share on X (Opens in new window) X Share on Facebook (Opens in new window) Facebook Share on WhatsApp (Opens in new window) WhatsApp Share on Reddit (Opens in new window) Reddit Like Loading... Related